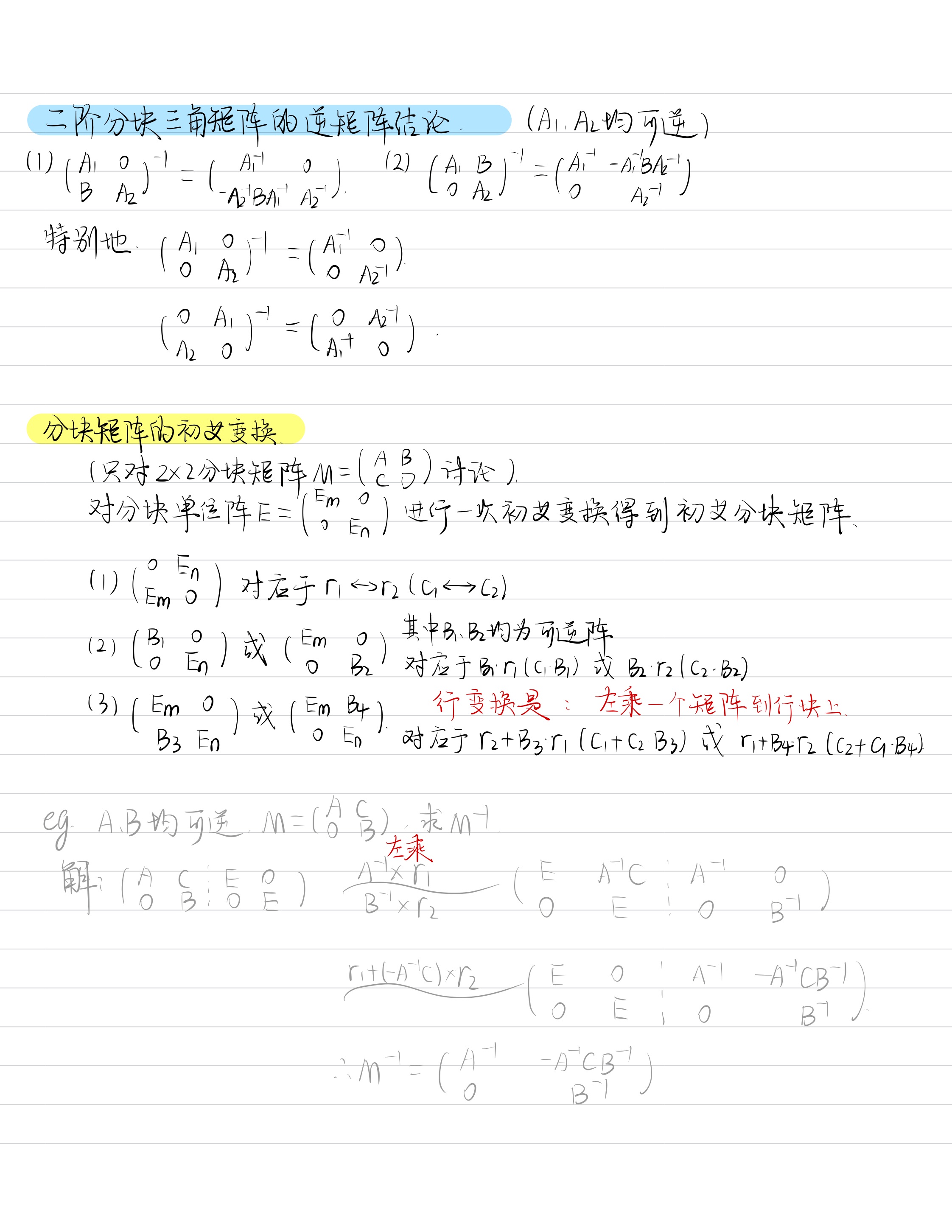
线性代数_矩阵笔记 2025-10-02- 2025-10-21 23- 1m 笔记 > 线性代数-笔记线性代数矩阵1.8-1.10 矩阵 1.11 初等变换与初等矩阵 1.12 分块矩阵 I'm so cute. Please give me money.本文作者:Tangent丶ZX本文链接:https://tangentzx.github.io/2025/10/02/%E7%BA%BF%E6%80%A7%E4%BB%A3%E6%95%B0-%E7%9F%A9%E9%98%B5%E7%AC%94%E8%AE%B0/版权声明:本博客所有文章除特别声明外,均默认采用 许可协议。